梦幻西游每级升级需要多少经验?最新很多玩家在问这个问题,今天小编就给大伙带来50-77级每级间升级所需的经验值,希望能够给到不同等级玩家一点提示,下面就随小编一起来看看吧。

梦幻西游升级经验表:
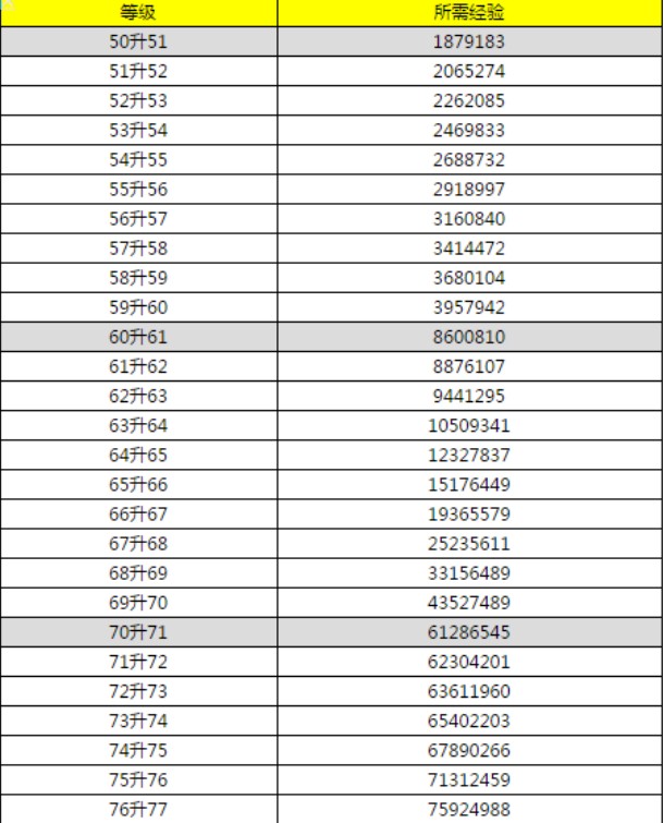
小编先给大家分享的是梦幻西游50-77升级所需经验表,后续根据不同等级来换算所需经验多少。

50-60级一共需要28497462,约为2849万经验。
60-70级一共需要186217007,约为1亿8621万经验。
70-77级一共需要467732622,约为4亿6773万经验。
从50-77级一共需要682447091,约为6亿8244万经验。
升到69所需要的经验大概为40384700(不含69的下一级经验)。根据70-77级的升级经验规律,小编预计77-80级还需要3亿经验。也就是说70-80级需要接近10亿经验。
以上就是小编给大家带来梦幻西游升级经验表内容了,更多攻略敬请关注视游手游网!
梦幻西游
角色扮演7.5分
梦幻西游是一款由大型端游改编而来的角色扮演手游。全新改版,庞大场面,迎来了全新版本,同时还搭载了高级...
抵制不良游戏 拒绝盗版游戏 注意自我保护 谨防受骗上当 适度游戏益脑 沉迷游戏伤身 合理安排时间 享受健康生活